Torsion Pendulum Theory

Torsional Pendulum Theory Figure

Consider the torsion pendulum of Figure 1 consisting of a disk of mass moment of inertia I lb-in-sec2, restrained in rotation by a wire of torsional stiffness K in-lb/radian. If the disk is turned an initial angle and sharply released, it will oscillate with damped harmonic motion as shown in Figure 2.

Fig.1 Torsion Pendulum Fig.2 Amplitude decays but time period remains constant
Fig.1 Torsion Pendulum Fig.2 Amplitude decays but time period remains constant

 

Contact Us

 

Torsion Pendulum Moment of Inertia

The period of oscillation will remain constant while the amplitude of oscillation will decay gradually until the pendulum eventually comes to rest. For very small viscous damping, the torsion pendulum oscillates at its natural frequency and the moment of inertia can be determined by the simple relationship:

torsion1

where C is a calibration constant which can be determined experimentally. For significant damping, the period of oscillation is greater than the undamped natural period by an amount determined by the damping ratio. This results in a measured moment of inertia which is slightly greater than true value.

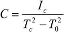
Calibration – A calibration weight of known moment of inertia (Ic) is supplied with all of our instrument. The operator first measures the period of oscillation with this weight mounted on the instrument (Tc). The weight is removed and the tare period (To) is measured. The calibration constant (C) may now be calculated as follows

torsion 2

Our moment of inertia instruments are linear. Only a single calibration weight is required to establish the value of the calibration constant for the instrument. Therefore, the calibration constant need not be changed when measuring different size or weight parts.

Contact Us Today for a Free Quote

contact us